0x00

WHUSESC 23-24 、 22-23 和 20-21 的数据结构实训期末考核题解源码
笔者手写,仅供参考

0x01 23-24

一、H 遍历算法设计

在森林上定义一种特殊的遍历次序,称为 H 遍历
规则如下:
对于有多棵子树的森林,先遍历第一棵子树 T1,再遍历第二棵子树 T2,依次按顺序遍历完所有子树。在每一棵子树内部,比如 T1 的内部,先遍历 T1 的第一棵子树,再访问 T1 的根结点,再遍历 T1 的其余的子树森林。

如图所示,该树的 H 遍历结果是:EBFACHIJKGD

因为任意的树都可以转换为对应的二叉树,如上图所示的树,可以转换成下图所示的二叉树:

请设计一个算法,能够在以二叉链表表示的树(即孩子兄弟链结构)上输出 H 遍历次序。

具体要求

(1) 定义二叉树的结点的数据类型,并使用动态内存分配的方式向二叉树中插入新的结点。

(2) 定义栈元素的数据类型,以满足遍历二叉链表结构的需要。概念上是一个二叉树的结点入栈,同时应该表明该结点是其父结点的左孩子还是右孩子。这样可以方便判断回溯时是从左子树上来的还是从右子树上来的。

(3) 要求该算法是非递归算法,不允许使用递归。在算法中可以使用自定义的栈,也可以使用 C/C++ 库中的栈。

(4) 不允许将二叉链表结构改造成一般树的孩子链结构,也就是说,不允许在树上进行 H 遍历,而是要直接在对应的二叉树上进行 H 遍历。

(5) 算法执行完毕,要以正确的方式释放动态申请的空间

(6) 在遍历二叉树的过程中,遇到左子树为空,而右子树不空的结点,要同时输出该结点及其父结点(如连续输出 E、B)。

(7) 在遍历二叉树的过程中,一旦对一个结点进行退栈操作,意味着要连续对一系列的结点进行退栈操作。条件包括右子树为空或者右子树已经处理完毕,或者左子树已经处理完毕且右子树为空。

(8) 当一个结点退栈,且是从非空的左子树回溯时,如果结点的子结点没有右孩子,应当输出该结点(如输出 G)。

(9) 在结点连续退栈的过程中,如果到达一个从左子树回溯的结点,且其右子树非空,则应输出其父结点的数据(如到达 B,输出 A)。

(10) 以本题所示的图中的树为数据,输出正确的 H 遍历的结果。

要求 main() 函数实现下述操作

1
2
3
4
5
6
7
int main() {
BTNode *root;
makeTree(root);
HTraverse(root);
freeTree(root);
return 0;
}

实现

栈中额外记录一个状态,标志某个结点的第一个孩子是否访问,以此来遍历即可

1
2
3
4
5
6
7
8
9
10
11
12
13
14
15
16
17
18
19
20
21
22
23
24
25
26
27
28
29
30
31
32
33
34
35
36
37
38
39
40
41
42
43
44
45
46
47
48
49
50
51
52
53
54
55
56
57
58
59
60
61
62
63
64
65
66
67
68
69
70
71
72
73
74
75
76
77
78
79
80
81
82
83
84
85
86
87
88
89
90
91
92
93
94
95
96
97
98
99
100
101
102
103
104
105
106
107
108
109
110
111
112
113
114
115
116
117
118
119
120
121
122
123
124
125
126
#include <iostream>
#include <vector>
#include <queue>
#include <stack>
#include <algorithm>
#include <map>
#include <unordered_map>
#include <set>
#include <unordered_set>
#include <list>
#include <climits>
#include <utility>
#include <string>

using namespace std;

class HBTree{
private:
struct BTNode
{ // 二叉树结构定义
char data;
BTNode* firstChild;
BTNode* nextSiblings;

BTNode(char val)
: data(val), firstChild(nullptr), nextSiblings(nullptr) {}

BTNode(char val, BTNode* p1, BTNode* p2)
: data(val), firstChild(p1), nextSiblings(p2) {}
};

struct stNode
{ // H遍历要用到的栈元素定义
BTNode* node;
bool firstChildDone;
stNode(BTNode* p, bool val)
: node(p), firstChildDone(val) {}
};

public:
BTNode* root = nullptr;

BTNode* insert(char val, BTNode* parent)
{ // 插入结点
if(parent == nullptr) return nullptr;
BTNode* curNode = new BTNode(val);
if(parent->firstChild == nullptr)
{
parent->firstChild = curNode;
}else{
BTNode* tmpNode = parent->firstChild;
while(tmpNode->nextSiblings != nullptr)
{
tmpNode = tmpNode->nextSiblings;
}
tmpNode->nextSiblings = curNode;
}
return curNode;
}

void freeTree(BTNode* root)
{ // 释放树
if(root == nullptr) return;
freeTree(root->firstChild);
freeTree(root->nextSiblings);
delete(root);
}

void makeTree(BTNode* &root)
{ // 题目示例给出的树
BTNode* r = new BTNode('K', nullptr, nullptr);
r = new BTNode('J', nullptr, r);
r = new BTNode('I', nullptr, r);
r = new BTNode('H', r, nullptr);
r = new BTNode('G', r, nullptr);
r = new BTNode('D', r, nullptr);
r = new BTNode('C', nullptr, r);
BTNode* l = new BTNode('F', nullptr, nullptr);
l = new BTNode('E', nullptr, l);
r = new BTNode('B', l, r);
r = new BTNode('A', r, nullptr);
root = r;
}

void HTravserse(BTNode* root)
{
stack<stNode> hst;
hst.push({root, false});
while(!hst.empty())
{
stNode& top = hst.top();
BTNode* curNode = top.node;
if(!top.firstChildDone)
{// 第一个孩子未处理,先处理第一个孩子
top.firstChildDone = true;
if (curNode->firstChild != NULL)
hst.push({curNode->firstChild, false});
}else{ // 第一个孩子已处理
cout << top.node->data << endl; // 访问当前结点
hst.pop(); // 退栈
BTNode* sibling = curNode->firstChild;
if(sibling != nullptr) sibling = sibling->nextSiblings; // 开始访问其余子树
else sibling = nullptr;
// 其余子树应该逆序入栈以确保访问顺序
vector<BTNode*> siblings;
while(sibling != nullptr)
{
siblings.push_back(sibling);
sibling = sibling->nextSiblings;
}
for(int i = siblings.size()-1; i >= 0; i--)
{
hst.push({siblings[i], false});
}
}
}
}
};

int main() {
HBTree hbt;
hbt.makeTree(hbt.root);
hbt.HTravserse(hbt.root);
hbt.freeTree(hbt.root);
return 0;
}

二、最大最小值差计算

对 n 个不同的正整数,进行如下操作:每一次删去其中两个数 a 和 b,然后加入一个新数:a*b+1,如此循环操作直到只剩下一个数。所有按这种操作方式最后得到的数中,最大的为 max,最小的为 min,计算 max - min

举例

假设有三个数 2, 4, 3

  • 第一种循环操作:取出 4, 3,将 4*3+1 放回序列,得到 2, 13;2*13+1 = 27
  • 第二种循环操作:取出 2, 3,将 2*3+1 放回序列,得到 4, 7;4*7+1 = 29

所以,max - min = 29 - 27 = 2

定理

每次从序列中取出两个最小的整数,循环操作可以得到 max。
每次从序列中取出两个最大的整数,循环操作可以得到 min。

定理已经给出,无需证明。

根据以上定理,编写一个算法得到一个正整数序列上的 max - min 的值。

具体要求

(1) 程序运行时,从键盘上输入序列长度 n,以及 n 个正整数值。

(2) 采用合适的数据结构,完成对 maxmin 的计算。

(3) 所采用的数据结构,可以自己编写,也可以使用 C/C++ 中的库函数或者类。

(4) 输入多个不同的序列,都能够得到正确的结果。

(5) 使用 int 类型的变量,序列长度逐渐增加,程序运行会得到错误的结果,是何原因,如何解决?

(6) 在序列长度为 n 的情况下,分析算法复杂度。

实现

维护一个最大堆和一个最小堆即可;可以直接用优先队列,这里是手写的堆

1
2
3
4
5
6
7
8
9
10
11
12
13
14
15
16
17
18
19
20
21
22
23
24
25
26
27
28
29
30
31
32
33
34
35
36
37
38
39
40
41
42
43
44
45
46
47
48
49
50
51
52
53
54
55
56
57
58
59
60
61
62
63
64
65
66
67
68
69
70
71
72
73
74
75
76
77
78
79
80
81
82
83
84
85
86
87
88
89
90
91
92
93
94
95
96
97
98
99
100
101
102
103
104
105
106
107
108
109
110
111
112
113
114
115
116
117
118
119
120
121
122
123
124
125
126
127
128
129
130
131
132
133
134
135
136
137
138
139
140
141
142
143
144
145
146
147
148
149
150
151
152
153
154
155
156
157
158
159
160
161
162
163
164
165
166
167
168
169
170
171
172
173
174
175
176
177
178
179
180
181
182
183
184
185
186
187
188
189
190
191
192
193
194
195
196
197
198
199
200
201
202
203
204
205
206
207
208
209
210
211
212
213
214
215
216
#include <iostream>
#include <vector>
#include <queue>
#include <stack>
#include <algorithm>
#include <map>
#include <unordered_map>
#include <set>
#include <unordered_set>
#include <list>
#include <climits>
#include <utility>
#include <string>

using namespace std;

class MinHeap{
private:

vector<long long> heap;

public:

bool empty()
{
return heap.empty();
}

long long top()
{
return heap[0];
}

void up(int idx)
{
while(idx > 0)
{
int p = (idx - 1) / 2; // 父节点
if(heap[p] > heap[idx]) // 若要改写成最大堆,此处比较翻转
{
swap(heap[p], heap[idx]);
idx = p;
}else{
break;
}
}
}

void down(int idx)
{
int n = heap.size();
while(1)
{
int l = 2 * idx + 1; // 左孩子
int r = 2 * idx + 2; // 右孩子
int m = idx;
if(l < n && heap[l] < heap[m]) // 若要改写成最大堆,此处比较翻转
{
m = l;
}
if(r < n && heap[r] < heap[m]) // 若要改写成最大堆,此处比较翻转
{
m = r;
} // 找到最小的孩子
if(m == idx)
{
break;
}
swap(heap[m], heap[idx]);
idx = m;
}
}

void push(long long val)
{
heap.push_back(val);
up(heap.size()-1);
}

void pop()
{
swap(heap[0], heap.back());
heap.pop_back();
down(0);
}

void make_heap()
{
int n = heap.size();
for(int i = n / 2 - 1; i >= 0; i--)
down(i);
}

int size()
{
return heap.size();
}
};

class MaxHeap{
private:

vector<long long> heap;

public:

bool empty()
{
return heap.empty();
}

long long top()
{
return heap[0];
}

void up(int idx)
{
while(idx > 0)
{
int p = (idx - 1) / 2; // 父节点
if(heap[p] < heap[idx])
{
swap(heap[p], heap[idx]);
idx = p;
}else{
break;
}
}
}

void down(int idx)
{
int n = heap.size();
while(1)
{
int l = 2 * idx + 1; // 左孩子
int r = 2 * idx + 2; // 右孩子
int m = idx;
if(l < n && heap[l] > heap[m])
{
m = l;
}
if(r < n && heap[r] > heap[m])
{
m = r;
} // 找到最大的孩子
if(m == idx)
{
break;
}
swap(heap[m], heap[idx]);
idx = m;
}
}

void push(long long val)
{
heap.push_back(val);
up(heap.size()-1);
}

void pop()
{
swap(heap[0], heap.back());
heap.pop_back();
down(0);
}

void make_heap()
{
int n = heap.size();
for(int i = n / 2 - 1; i >= 0; i--)
down(i);
}

int size()
{
return heap.size();
}
};

int main()
{
MinHeap minh;
MaxHeap maxh;
int n;
cin >> n;
for(int i = 0; i < n; i++)
{
long long val;
cin >> val;
minh.push(val);
maxh.push(val);
}
while(minh.size() > 1)
{
long long val = minh.top();
minh.pop();
val = val * minh.top() + 1;
minh.pop();
minh.push(val);
}
while(maxh.size() > 1)
{
long long val = maxh.top();
maxh.pop();
val = val * maxh.top() + 1;
maxh.pop();
maxh.push(val);
}
long long min_val = minh.top();
long long max_val = maxh.top();
cout << max_val - min_val << endl;
return 0;
}

三、后缀表达式转中缀表达式

给定一个后缀表达式,如 ab+c*d+e*,将其转换成对应的中缀表达式,如 ((a+b)*c+d)*e

为简化编程,所有的运算数量直接用单个字母表示,运算符只有 +-*/ 四种。

具体要求

(1) 在中缀表达式中,考虑到运算符之间的优先级,在有需要使用括号 () 时,必须使用;

(2) 没有必要使用括号时,不允许出现多余的括号;

(3) 输入的后缀表达式是一个字符串,输出的中缀表达式也要求是一个字符串;

(4) 自行选用合适的辅助数据结构,如栈、队列等。这些辅助数据结构可以自行实现,也可以调用 C/C++ 函数库或者类库;

(5) 正确处理空间的申请和释放;

(6) 输入的后缀表达式有可能是非法的,要能识别表达式是否非法;

(7) 正确组织处理流程,输出的结果正确无误;

(8) 在不同的表达式上都取得正确的结果。

实现

用栈来模拟,遇到运算符就取出栈中两个单元;括号通过额外记录每个子表达式的主运算符来处理

1
2
3
4
5
6
7
8
9
10
11
12
13
14
15
16
17
18
19
20
21
22
23
24
25
26
27
28
29
30
31
32
33
34
35
36
37
38
39
40
41
42
43
44
45
46
47
48
49
50
51
52
53
54
55
56
57
58
59
60
61
62
63
64
65
66
67
68
69
70
71
72
73
74
75
76
77
78
79
80
81
82
83
84
85
86
87
88
89
90
91
92
93
94
95
96
97
98
99
#include <iostream>
#include <vector>
#include <queue>
#include <stack>
#include <algorithm>
#include <map>
#include <unordered_map>
#include <set>
#include <unordered_set>
#include <list>
#include <climits>
#include <utility>
#include <string>

using namespace std;

class Expression{
private:
struct Exp
{
string expr; // 表达式
char op; // 记录表达式的运算符

Exp(): op(0) {}
};
stack<Exp> st;
public:
Exp in;
Exp post;

bool is_op(char ch)
{
return (ch == '+' || ch == '-' || ch == '*' || ch == '/');
}

bool is_let(char ch)
{
return (ch >= 0x61 && ch <= 0x7a);
}

bool post2in()
{
for(int i = 0; i < post.expr.size(); i++)
{
if(!is_op(post.expr[i]) && !is_let(post.expr[i]))
return false;
if(is_let(post.expr[i]))
{
Exp tmp;
tmp.expr.push_back(post.expr[i]);
st.push(tmp);
}else{
if(st.size() >= 2)
{
Exp& obj2 = st.top();
st.pop();
Exp& obj1 = st.top();
st.pop();
if(post.expr[i] == '*' || post.expr[i] == '/')
{ // 仅当乘除遇到运算对象的运算符是加减时需要加括号
if(obj1.op == '+' || obj1.op == '-')
{
obj1.expr.insert(0, "(");
obj1.expr.push_back(')');
}
if(obj2.op == '+' || obj2.op == '-')
{
obj2.expr.insert(0, "(");
obj2.expr.push_back(')');
}
}
obj1.expr.push_back(post.expr[i]);
obj1.expr.append(obj2.expr);
obj1.op = post.expr[i];
st.push(obj1);
}else{
return false;
}
}
}
// 最后处理完后栈中剩下的唯一元素就是中缀表达式
if(st.size() != 1)
{
return false;
}else{
in = st.top();
return true;
}
}
};

int main()
{
Expression e;
cin >> e.post.expr;
if(e.post2in()) cout << e.in.expr << endl;
else cout << "expression is invalid" << endl;
return 0;
}

0x02 22-23

一、定时队列问题

假设某一服务器要处理若干定时任务。这些任务按照时间的先后离开优先权队列(用最小堆实现),出队列的任务被立即执行。

定时任务数据类型

1
2
3
4
5
struct TimedTask {
long id;
time_t t;
// ... 其他字段
};
  • t 是最小堆中排序的关键字(最小 t 的任务位于堆顶)。
  • 用户可在任务执行前撤销任务修改执行时间
  • 为实现上述操作,另设一个散列表(哈希表),以 id 为关键字,每个元素是 {id, 在堆中的下标 idx} 的二元组。

具体要求

(1) 上推调整操作
实现函数:
bool adjustUp(TimedTask task_queue[], int pos, HashItem hash_table[], int hsize);
参数意义明确。返回值 true 代表上推过程中发生了数据交换。

(2) 下推调整操作
实现函数:
bool adjustDown(TimedTask task_queue[], int pos, int qsize, HashItem hash_table[], int hsize);
参数意义明确。返回值 true 代表下推过程中发生了数据交换。

(3) 散列表操作
在堆上的任意操作(插入、删除、修改、调整)都可能改变任务在堆中的位置,因此需实现散列表的插入、删除、修改等操作(采用线性开地址法)。
提示:adjustUp()adjustDown() 函数都要考虑对散列表的同步操作。

(4) 按 id 删除堆中任意任务
实现函数:
void deleteFromHeap(TimedTask task_queue[], int qsize, HashItem hash_table[], int hsize, long id);
要求以最小代价迅速将剩余任务重新组织成最小堆,并完成散列表的相应修改。

(5) 按 id 修改堆中任意任务的时间 t
实现函数:
void updateHeap(TimedTask task_queue[], int qsize, HashItem hash_table[], int hsize, long id, time_t t);
从被修改的任务开始,迅速将所有任务重新组织成最小堆,并完成散列表的相应修改。

(6) 测试与输出
依次将以下任务加入队列:
(1237585, 7875), (237585, 7855), (127585, 875), (17585, 975), (47585, 17875), (585, 75)
假设最后一个任务入队时,尚无任务被执行。
请输出此时优先权队列以及散列表的内容(假设散列表长度为 7)。

要求 main() 函数实现如下操作

1
2
3
4
5
6
7
8
9
10
int main() {
initializeHashTable(hashtable, 7);
buildQueue(taskqueue, 6, hashtable, 7);
dispQueue(taskqueue, 6);
updateHeap(taskqueue, 6, hashtable, 7, 237585, 700);
dispQueue(taskqueue, 6);
deleteFromHeap(taskqueue, 6, hashtable, 7, 17585);
dispQueue(taskqueue, 5);
return 0;
}

要求补充实现所有可能需要用到的函数和数据结构。

实现

今年考纲要点没有哈希表,于是懒得再手写实现直接用unordered_map,剩下的通过手写最小堆稍微改造即可

1
2
3
4
5
6
7
8
9
10
11
12
13
14
15
16
17
18
19
20
21
22
23
24
25
26
27
28
29
30
31
32
33
34
35
36
37
38
39
40
41
42
43
44
45
46
47
48
49
50
51
52
53
54
55
56
57
58
59
60
61
62
63
64
65
66
67
68
69
70
71
72
73
74
75
76
77
78
79
80
81
82
83
84
85
86
87
88
89
90
91
92
93
94
95
96
97
98
99
100
101
102
103
104
105
106
107
108
109
110
111
112
113
114
115
116
117
118
119
120
121
122
123
124
125
126
127
128
129
130
131
132
133
134
135
136
137
138
139
140
141
142
143
144
145
146
147
148
149
150
151
152
153
154
155
156
157
158
159
160
161
162
163
164
165
166
167
168
169
170
#include <iostream>
#include <vector>
#include <queue>
#include <stack>
#include <algorithm>
#include <map>
#include <unordered_map>
#include <set>
#include <unordered_set>
#include <list>
#include <climits>
#include <utility>
#include <string>

using namespace std;

class TimeTask{
private:
struct Task
{
long id;
time_t t;
};

unordered_map<long, int> hashtable; // {id, idx} id和相应任务在最小堆中的下标
vector<Task> taskqueue;

public:
bool empty()
{
return taskqueue.empty();
}

Task top()
{
return taskqueue[0];
}

bool adjustUp(int idx)
{
bool flag = false;
while(idx > 0)
{
int p = (idx - 1) / 2; // 父节点
if(taskqueue[p].t > taskqueue[idx].t)
{
hashtable[taskqueue[p].id] = idx; // 哈希表也要更新
hashtable[taskqueue[idx].id] = p;
swap(taskqueue[p], taskqueue[idx]);
flag = true;
idx = p;
}else{
break;
}
}
return flag;
}

bool adjustDown(int idx)
{
bool flag = false;
int n = taskqueue.size();
while(1)
{
int l = 2 * idx + 1; // 左孩子
int r = 2 * idx + 2; // 右孩子
int m = idx;
if(l < n && taskqueue[l].t < taskqueue[m].t)
{
m = l;
}
if(r < n && taskqueue[r].t < taskqueue[m].t)
{
m = r;
} // 找到最小的孩子
if(m == idx)
{
break;
}
hashtable[taskqueue[m].id] = idx; // 哈希表更新
hashtable[taskqueue[idx].id] = m;
swap(taskqueue[m], taskqueue[idx]);
flag = true;
idx = m;
}
return flag;
}

void deleteFromHeap(long id)
{
int idx = hashtable[id];
hashtable[id] = taskqueue.size() - 1;
hashtable[taskqueue[taskqueue.size()-1].id] = idx;
swap(taskqueue[idx], taskqueue.back());
hashtable.erase(taskqueue.back().id); // 从哈希表删除
taskqueue.pop_back(); // 从任务队列删除
if(!adjustDown(idx)) adjustUp(idx); // 恢复任务队列
}

void updateHeap(long id, time_t t)
{
int idx = hashtable[id];
taskqueue[idx].t = t;
if(!adjustDown(idx)) adjustUp(idx); // 恢复任务队列
}

void push(Task obj)
{
taskqueue.push_back(obj);
adjustUp(taskqueue.size()-1);
}

void pop()
{
swap(taskqueue[0], taskqueue.back());
taskqueue.pop_back();
adjustDown(0);
}

void make_heap()
{
int n = taskqueue.size();
for(int i = n / 2 - 1; i >= 0; i--)
adjustDown(i);
}

void initializeHashTable()
{
// 直接用unordered_map
hashtable[1237585] = 0;
hashtable[237585] = 1;
hashtable[127585] = 2;
hashtable[17585] = 3;
hashtable[47585] = 4;
hashtable[585] = 5;
}

void buildQueue()
{
//(1237585, 7875) (237585, 7855) (127585, 875) (17585, 975) (47585, 17875) (585, 75)
taskqueue.push_back({1237585, 7875});
taskqueue.push_back({237585, 7855});
taskqueue.push_back({127585, 875});
taskqueue.push_back({17585, 975});
taskqueue.push_back({47585, 17875});
taskqueue.push_back({585, 75});
make_heap();
}

void dispQueue()
{
for(auto& task : taskqueue)
{
cout << task.id << " " << task.t << endl;
}
}
};

int main()
{
TimeTask tt;
tt.initializeHashTable();
tt.buildQueue();
tt.dispQueue();
tt.updateHeap(237585,700);
tt.dispQueue();
tt.deleteFromHeap(17585);
tt.dispQueue();
return 0;
}

二、无向图的树判定与有根树转换

输入一个无向图的邻接矩阵,判断该无向图是否为一棵无根无向树。若是,则设计算法将其转换成一棵具有最小高度的有根有向树,并输出其后序序列。

具体要求

(1) 输入表示
将题目中图表示成邻接矩阵形式,并作为算法的输入数据。

(2) 无根无向树判定算法
设计算法,判断一个邻接矩阵是否为一棵无根无向树。

(3) 有根有向树转换
若是无根无向树,则设计算法,在指定某顶点为树根的情况下,将邻接矩阵转换成一棵用于无元链存储的有根有向树。

(4) 后序遍历输出
输出该有根有向树的后序遍历序列

(5) 最优树根寻找与最小高度树生成
设计算法,寻找最优树根(使生成的有根有向树高度最小)。找到最优根后,生成最小高度的有根有向树并输出其后序序列。
提示:分三步进行:

  1. 求所有顶点对之间的路径长度(参考 Floyd 算法),求出最大路径长度
  2. 根据该最大路径长度,深度优先遍历到该路径上的所有顶点。
  3. 在该路径上选择最优根

实现

用并查集来判断无环且连通即是无根无向树;用 bfs 来建树;floyd 板子

1
2
3
4
5
6
7
8
9
10
11
12
13
14
15
16
17
18
19
20
21
22
23
24
25
26
27
28
29
30
31
32
33
34
35
36
37
38
39
40
41
42
43
44
45
46
47
48
49
50
51
52
53
54
55
56
57
58
59
60
61
62
63
64
65
66
67
68
69
70
71
72
73
74
75
76
77
78
79
80
81
82
83
84
85
86
87
88
89
90
91
92
93
94
95
96
97
98
99
100
101
102
103
104
105
106
107
108
109
110
111
112
113
114
115
116
117
118
119
120
121
122
123
124
125
126
127
128
129
130
131
132
133
134
135
136
137
138
139
140
141
142
143
144
145
146
147
148
149
150
151
152
153
154
155
156
157
158
159
160
161
162
163
164
165
166
167
168
169
170
171
172
173
174
175
176
177
178
179
180
181
182
183
184
185
186
187
188
189
190
191
192
193
194
195
196
197
198
199
200
201
202
203
204
205
206
207
208
209
210
211
212
213
214
215
216
217
218
219
220
221
222
223
224
225
226
227
228
229
230
231
232
233
234
235
236
237
238
239
240
241
242
243
244
245
246
247
248
249
250
251
252
253
254
255
256
257
258
259
260
261
262
263
264
265
266
267
268
269
270
271
272
273
274
275
276
277
278
279
280
281
282
283
284
285
286
287
288
289
290
291
292
293
294
295
296
297
298
299
300
301
302
303
304
#include <iostream>
#include <vector>
#include <queue>
#include <stack>
#include <algorithm>
#include <map>
#include <unordered_map>
#include <set>
#include <unordered_set>
#include <list>
#include <climits>
#include <utility>
#include <string>

using namespace std;

#define A 0
#define B 1
#define C 2
#define D 3
#define E 4
#define F 5
#define G 6
#define H 7

class Graph2Tree {
public:
vector<vector<int>> matrix; // 邻接矩阵
private:
const int INF = 0x3f3f3f3f;
int n;

struct Node
{
int data;
Node* firstChild;
Node* nextSibling;

Node(int val)
: data(val), firstChild(nullptr), nextSibling(nullptr) {}
}; // 孩子兄弟树

Node* root;

vector<int> fa; // 并查集

int find(int x)
{ // 查找所属连通分量
if (fa[x] != x)
fa[x] = find(fa[x]);
return fa[x];
}

void Union(int x, int y)
{ // 合并两个连通分量
fa[find(x)] = find(y);
}

void init(int n_)
{
n = n_;
matrix.assign(n, vector<int>(n, INF));
fa.resize(n);
for (int i = 0; i < n; i++)
fa[i] = i;
for (int i = 0; i < n; i++)
matrix[i][i] = 0;
root = nullptr;
}

public:
Graph2Tree(int n_ = 0)
{
init(n_);
}

void add(int u, int v, int w, bool undirected = true)
{
// 邻接矩阵
matrix[u][v] = min(matrix[u][v], w);
if(undirected)
matrix[v][u] = min(matrix[v][u], w);
}

pair<vector<vector<int>>, vector<vector<int>>> floyd()
{
vector<vector<int>> dist; // 最短距离
vector<vector<int>> path; // 路径恢复矩阵
dist = matrix; // 拷贝邻接矩阵
path.assign(n, vector<int>(n, -1));

for (int i = 0; i < n; i++)
for (int j = 0; j < n; j++)
if (dist[i][j] < INF && i != j)
path[i][j] = j; // 初始:i 直达 j
for (int k = 0; k < n; k++)
{
for (int i = 0; i < n; i++)
{
for (int j = 0; j < n; j++)
{
if (dist[i][k] < INF && dist[k][j] < INF &&
dist[i][j] > dist[i][k] + dist[k][j])
{
dist[i][j] = dist[i][k] + dist[k][j];
path[i][j] = path[i][k]; // 路径关键点
}
}
}
}
return {dist, path};
}

bool isTree()
{
for(int i = 0; i < n; i++)
{
for(int j = i + 1; j < n; j++)
{
if(matrix[i][j] != INF && matrix[i][j] != 0)
{
if(find(i) == find(j)) return false;
else Union(i, j);
}
}
}
for(int i = 0; i < n; i++)
{
int r = find(0);
if(find(i) != r) return false;
}
return true;
}

Node* insert(Node* parent, int val)
{
if (parent == NULL) return NULL;

Node* node = new Node(val);
if (parent->firstChild == NULL)
{
parent->firstChild = node;
}
else
{
Node* cur = parent->firstChild;
while (cur->nextSibling != NULL)
{
cur = cur->nextSibling;
}
cur->nextSibling = node;
}
return node;
}

bool matrix2tree(int rootval)
{
if(!isTree()) return false;
clearTree();
root = new Node(rootval);
vector<bool> vis(n, false);
queue<Node*> q;
vis[rootval] = true; // 置根结点已访问
q.push(root);
while(!q.empty())
{
Node* cur = q.front();
q.pop();
for(int i = 0; i < n; i++)
{
if(matrix[cur->data][i] != INF && matrix[cur->data][i] != 0 && !vis[i])
{
q.push(insert(cur, i));
vis[i] = true;
}
}
}
return true;
}

void clearTree()
{ // 清空树
if (root == nullptr) return;
stack<Node*> st;
st.push(root);
while (!st.empty())
{
Node* cur = st.top();
st.pop();
if (cur->firstChild != nullptr)
st.push(cur->firstChild);
if (cur->nextSibling != nullptr)
st.push(cur->nextSibling);
delete cur;
}
root = nullptr;
}

void dfsTree()
{ // 后序dfs遍历
if(root == nullptr) return;
stack<pair<Node*, bool>> st; // {node, bool}, bool记录当前结点的孩子是否被访问
st.push({root, false});
while(!st.empty())
{
Node* cur = st.top().first;
if(st.top().second)
{
cout << char(cur->data+'A') << endl;
st.pop();
}else{
st.top().second = true;
Node* tmp = cur->firstChild;
vector<Node*> v;
while(tmp != nullptr)
{
v.push_back(tmp);
tmp = tmp->nextSibling;
}
for(int i = v.size()-1; i >= 0; i--)
{
st.push({v[i], false});
}
}
}
}

int getTreeHeight()
{
if(root == nullptr) return -1;
int h = 0;
Node* cur = root;
while(cur->firstChild != nullptr)
{
cur = cur->firstChild;
h++;
}
return h;
}

int getMinRootval()
{
// floyd找到最长路径并恢复
auto tmp = floyd();
vector<vector<int>> dist = tmp.first;
vector<vector<int>> next = tmp.second;
int start, dest, maxp = -1;
for(int i = 0; i < n; i++)
{
for(int j = 0; j < n; j++)
{
if(dist[i][j] > maxp && dist[i][j] < INF)
{
maxp = dist[i][j];
start = i;
dest = j;
}
}
}
vector<int> path;
path.push_back(start);
while(start != dest)
{
start = next[start][dest];
path.push_back(start);
}
// 遍历这个最长路径找到最优根节点
int minHeight = INF;
int minRootval = -1;
for(auto& p : path)
{
matrix2tree(p);
int height = getTreeHeight();
if(minHeight > height)
{
minHeight = height;
minRootval = p;
}
}
return minRootval;
}

void reset(int n_)
{
clearTree();
init(n_);
}
};

int main()
{
Graph2Tree g(8);
g.add(A, B, 1);
g.add(B, C, 1);
g.add(A, D, 1);
g.add(A, E, 1);
g.add(E, F, 1);
g.add(E, G, 1);
g.add(E, H, 1);
g.matrix2tree(g.getMinRootval());
g.dfsTree();
g.clearTree();
return 0;
}

三、柱状图中最大矩形面积

给定 n 个非负整数,表示柱状图中各个柱子的高度。每个柱子彼此相邻,宽度为 1。求在该柱状图中,能够勾勒出来的矩形的最大面积

例如,图中阴影部分为可勾勒出的最大矩形,面积为 10

具体要求

(1) 函数原型
int maxRectangle(int A[], int n)
其中 A 是存储柱状图高度的数组,n 为数组长度。

(2) 实现方式
非递归方式实现该算法。

(3) 数组修改
在算法运行过程中,允许改变数组 A 的内容。

(4) 递增情况分析
提示:数组为递增时(递减情况类似)最容易求解,每根柱子都可向右扩展。因此,可先尝试在柱状图高度递增的情况下求解。

(5) 通用解法(使用递增栈)
使用一个递增栈(栈中元素按增序排列)作为辅助数据结构,解决任意形状柱状图的最大矩形面积问题。

实现

单调栈板子

1
2
3
4
5
6
7
8
9
10
11
12
13
14
15
16
17
18
19
20
21
22
23
24
25
26
27
28
29
30
31
32
33
34
35
36
37
38
39
40
41
42
43
44
45
46
47
48
49
50
51
52
53
54
55
#include <iostream>
#include <vector>
#include <queue>
#include <stack>
#include <algorithm>
#include <map>
#include <unordered_map>
#include <set>
#include <unordered_set>
#include <list>
#include <climits>
#include <utility>
#include <string>

using namespace std;

class maxRect{
public:
vector<int> A;

int maxRectangle()
{
int n = A.size();
stack<int> st; // 元素为idx
vector<int> mp(n);
int res = -1;
for(int i = 0; i < n; i++)
{
while(!st.empty() && A[i] < A[st.top()])
{
mp[st.top()] = i; // 栈顶元素右侧第一个更小的值就是A[i], 记录索引
st.pop();
}
st.push(i);
}
for(int i = 0; i < n; i++)
{
int cur = A[i] * (mp[i] - i);
res = max(cur, res);
}
return res;
}
};

int main()
{
maxRect s;
s.A.push_back(2);
s.A.push_back(1);
s.A.push_back(5);
s.A.push_back(6);
s.A.push_back(2);
s.A.push_back(3);
cout << s.maxRectangle() << endl;
}

0x03 20-21

一、基于 Kruskal 算法的最小代价生成树

编写代码利用 Kruskal 算法 求解给定无向图的最小代价生成树。

具体要求

(1) 图的存储表示
将题目中的无向图用邻接表邻接矩阵的形式表示出来。

(2) 基于堆的边选取
不需要将所有边按权值完全排序,而是在算法过程中每次挑选当前权值最小的边。具体实现要求如下:

  • 初始化时,将所有边按权值大小建堆(heap)
  • 每次取出堆顶元素后,立即调整使之恢复成堆。
  • 建堆和后续堆顶操作都依赖 “筛选”(下推) 操作。
  • 必须显式实现函数:
    void adjustDown(EdgeType edge_set[], int pos1, int pos2);

(3) 并查集设计与实现
为了判断加边是否产生回路,要求构造并查集。并查集采用数组中的双亲表示法存储,并优化为以下结构(树高为 2):

  • 每个结点包含数据域和两个指针域(实际实现为整数下标)。
  • 根结点:第一指针指向自己(标识为根),第二指针指向任意一个孩子结点(若无孩子则为空)。
  • 孩子结点:第一指针指向根结点,第二指针指向根结点的下一个孩子(形成单向循环链表)。
  • 两棵子树合并时,将规模较小的子树合并进规模较大的子树,并保持上述结构。
  • 必须显式实现合并(Union)查询(Find) 操作。

(4) 输出生成树及总代价
按照边加入生成树的顺序输出每一条边,并输出最小生成树的总代价

(5) 代码组织
编写必要的函数,不允许将所有代码都写在 main() 函数中。合理组织头文件和源文件。

(6) 代码风格
合理使用注释,代码具有良好的风格。

实现

改造一下最小堆再加上kruskal即可

1
2
3
4
5
6
7
8
9
10
11
12
13
14
15
16
17
18
19
20
21
22
23
24
25
26
27
28
29
30
31
32
33
34
35
36
37
38
39
40
41
42
43
44
45
46
47
48
49
50
51
52
53
54
55
56
57
58
59
60
61
62
63
64
65
66
67
68
69
70
71
72
73
74
75
76
77
78
79
80
81
82
83
84
85
86
87
88
89
90
91
92
93
94
95
96
97
98
99
100
101
102
103
104
105
106
107
108
109
110
111
112
113
114
115
116
117
118
119
120
121
122
123
124
125
126
127
128
129
130
131
132
133
134
135
136
137
138
139
140
141
142
143
144
145
146
147
148
149
150
151
152
153
154
155
156
157
158
159
160
161
162
163
164
165
166
167
168
169
170
171
172
173
174
175
176
177
178
179
180
181
182
183
184
185
186
187
188
189
190
191
192
193
194
195
196
197
198
199
#include <iostream>
#include <vector>
#include <queue>
#include <stack>
#include <algorithm>
#include <map>
#include <unordered_map>
#include <set>
#include <unordered_set>
#include <list>
#include <climits>
#include <utility>
#include <string>

using namespace std;

class MST{
private:
const int INF = 0x3f3f3f3f;
int n;
vector<vector<pair<int, int>>> adj; // 邻接表

struct EdgeHeap
{
struct Edge
{
int u, v, w;
bool operator<(const Edge &e) const { return w < e.w; }
};
vector<Edge> edges; // 边集

void clear()
{
edges.clear();
}

bool empty()
{
return edges.empty();
}

Edge top()
{
return edges[0];
}

void adjustUp(int idx)
{
while(idx > 0)
{
int p = (idx - 1) / 2; // 父节点
if(edges[idx] < edges[p])
{
swap(edges[p], edges[idx]);
idx = p;
}else{
break;
}
}
}

void adjustDown(int idx)
{
int n = edges.size();
while(1)
{
int l = 2 * idx + 1; // 左孩子
int r = 2 * idx + 2; // 右孩子
int m = idx;
if(l < n && edges[l] < edges[m]) // 若要改写成最大堆,此处比较翻转
{
m = l;
}
if(r < n && edges[r] < edges[m]) // 若要改写成最大堆,此处比较翻转
{
m = r;
} // 找到最小的孩子
if(m == idx)
{
break;
}
swap(edges[m], edges[idx]);
idx = m;
}
}

void push(Edge e)
{
edges.push_back(e);
adjustUp(edges.size()-1);
}

void pop()
{
swap(edges[0], edges.back());
edges.pop_back();
adjustDown(0);
}

void make_heap()
{
int n = edges.size();
for(int i = n / 2 - 1; i >= 0; i--)
adjustDown(i);
}
};

EdgeHeap edges;

vector<int> fa; // 并查集

int find(int x)
{ // 查找所属连通分量
if (fa[x] != x)
fa[x] = find(fa[x]);
return fa[x];
}

void Union(int x, int y)
{ // 合并两个连通分量
fa[find(x)] = find(y);
}

void init(int n_)
{
n = n_;
adj.assign(n, {});
edges.clear();
fa.resize(n);
for (int i = 0; i < n; i++)
fa[i] = i;
}

public:
MST(int n_ = 0)
{
init(n_);
}

void reset(int n_)
{
init(n_);
}

void add(int u, int v, int w, bool undirected = true)
{
// 邻接表
adj[u].push_back({v, w});
if(undirected)
adj[v].push_back({u, w});
// 边集(避免无向重复)
if(!undirected || u < v)
edges.push({u, v, w});
else if(undirected)
edges.push({v, u, w});
}

int kruskal()
{ // 最小生成树, 返回权值和
for(int i = 0; i < n; i++)
fa[i] = i;
int res = 0;
int cnt = 0;
while(!edges.empty())
{
auto e = edges.top();
edges.pop();
if (find(e.u) != find(e.v))
{
Union(e.u, e.v);
res += e.w;
cnt++;
cout << e.u+1 << "--" << e.v+1 << endl;
if (cnt == n - 1) break;
}
}
cout << "total cost:" << res << endl;
return (cnt < n - 1) ? -1 : res;
}
};

int main()
{
MST g(7);
g.add(0, 1, 1);
g.add(0, 2, 4);
g.add(1, 2, 2);
g.add(1, 3, 5);
g.add(2, 3, 4);
g.add(1, 4, 3);
g.add(2, 5, 3);
g.add(3, 4, 4);
g.add(3, 5, 3);
g.add(3, 6, 6);
g.add(4, 6, 4);
g.add(5, 6, 5);
g.kruskal();
return 0;
}

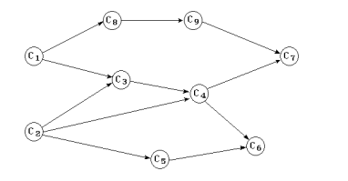
二、有向图拓扑序列计算

输入一个有向图,计算并输出该有向图的一个拓扑序列。如果该有向图没有拓扑序列,则输出“没有拓扑序列”的提示。

具体要求

(1) 图的存储
将题目中的有向图用邻接矩阵表示,存放在数组 int graph[9][9] 中。

(2) 非递归 DFS 实现拓扑排序
采用深度优先遍历(DFS) 的思想构造拓扑序列,但算法不表现为递归函数,而是用自建的栈或队列存放临时数据。

(3) 逆拓扑序列生成与反转
选择 C_1 为出发顶点,进行单趟 DFS,每个顶点在退栈时输出。若一次 DFS 后还有顶点未被访问,则重复以上操作,直到所有顶点都被访问并输出,得到一个逆拓扑序列。将逆拓扑序列反向输出即得到拓扑序列。

(4) 序列唯一性
严格按照上述要求生成的拓扑序列是唯一的,若有错误将扣分。

(5) 回路检测
在图中增加一条边 <C_0, C_2> 后,算法必须发现回路并提示不能生成拓扑序列。

(6) 代码组织
编写必要的函数,不允许将所有代码都写在 main() 函数中。合理组织头文件和源文件。

(7) DFS 函数原型
深度优先遍历函数原型如下:
bool DFS(int idx, int path[], int &d);

  • idx:顶点编号。
  • path:存放逆拓扑序列的数组。
  • dpath 中下一个插入数据的下标。
  • 返回值:false 表示发现回路,不能生成拓扑序列。
  • 要求数组 path 的空间在 DFS() 之外动态申请和释放

(8) 效率与风格
算法时间复杂度低,代码具有良好的风格。

实现

使用栈模拟,栈元素增加一个状态标记

1
2
3
4
5
6
7
8
9
10
11
12
13
14
15
16
17
18
19
20
21
22
23
24
25
26
27
28
29
30
31
32
33
34
35
36
37
38
39
40
41
42
43
44
45
46
47
48
49
50
51
52
53
54
55
56
57
58
59
60
61
62
63
64
65
66
67
68
69
70
71
72
73
74
75
76
77
78
79
80
81
82
83
84
85
86
87
88
89
90
91
92
93
94
95
96
97
98
99
100
101
102
103
104
105
106
107
108
109
110
111
112
113
114
115
116
117
118
119
120
121
122
123
124
125
126
127
128
129
130
131
132
133
134
135
136
137
138
139
140
141
142
143
144
145
146
147
148
149
150
151
152
153
154
155
156
157
158
#include <iostream>
#include <vector>
#include <queue>
#include <stack>
#include <algorithm>
#include <map>
#include <unordered_map>
#include <set>
#include <unordered_set>
#include <list>
#include <climits>
#include <utility>
#include <string>

using namespace std;

#define C1 0
#define C2 1
#define C3 2
#define C4 3
#define C5 4
#define C6 5
#define C7 6
#define C8 7
#define C9 8

class Topo{
public:
vector<vector<pair<int, int>>> adj; // 邻接表
vector<vector<int>> matrix; // 邻接矩阵
private:
const int INF = 0x3f3f3f3f;
int n;

vector<int> fa; // 并查集

int find(int x)
{ // 查找所属连通分量
if (fa[x] != x)
fa[x] = find(fa[x]);
return fa[x];
}

void Union(int x, int y)
{ // 合并两个连通分量
fa[find(x)] = find(y);
}

void init(int n_)
{
n = n_;
adj.assign(n, {});
matrix.assign(n, vector<int>(n, INF));
fa.resize(n);
for (int i = 0; i < n; i++)
fa[i] = i;
for (int i = 0; i < n; i++)
matrix[i][i] = 0;
}

public:
Topo(int n_ = 0)
{
init(n_);
}

void reset(int n_)
{
init(n_);
}

void add(int u, int v, int w, bool undirected = false)
{ // 加边,统合三种存储结构
// 邻接表
adj[u].push_back({v, w});
if(undirected)
adj[v].push_back({u, w});

// 邻接矩阵
matrix[u][v] = min(matrix[u][v], w);
if(undirected)
matrix[v][u] = min(matrix[v][u], w);
}

vector<int> topological_sort_dfs()
{ // 深搜拓扑排序
vector<int> state(n, 0); // 0=未访问, 1=访问中, 2=已完成
stack<pair<int, bool>> st;
vector<int> order;

for (int i = n; i >= 0; i--) // 这里逆向遍历就是从C1开始,正向则会变为从C2开始
{
if (state[i] != 0) continue;
st.push({i, false});
while (!st.empty())
{
auto [u, finished] = st.top();
st.pop();
if (finished)
{ // 所有子节点处理完
state[u] = 2;
order.push_back(u);
continue;
}
if (state[u] == 1)
{ // 再次遇到访问中的节点 -> 有环
cout << "Graph has a cycle, topological sort not possible." << endl;
return {};
}
if (state[u] == 2) continue;
// 第一次访问该节点
state[u] = 1;
st.push({u, true}); // 标记:等子节点处理完再回来
// 子节点逆序入栈
for (auto it = adj[u].rbegin(); it != adj[u].rend(); ++it)
{
int v = it->first;
if (state[v] == 0)
{
st.push({v, false});
}
else if (state[v] == 1)
{ // 发现回边
cout << "Graph has a cycle, topological sort not possible." << endl;
return {};
}
}
}
}
reverse(order.begin(), order.end());
return order;
}
};

int main()
{
Topo g(9);
g.add(C1, C3, 1);
g.add(C1, C8, 1);
g.add(C2, C3, 1);
g.add(C2, C4, 1);
g.add(C2, C5, 1);
g.add(C8, C9, 1);
g.add(C9, C7, 1);
g.add(C4, C7, 1);
g.add(C4, C6, 1);
g.add(C5, C6, 1);
g.add(C3, C4, 1);
vector<int> o = g.topological_sort_dfs();
for(auto& e : o)
{
cout << 'C' << e+1 << endl;
}
g.add(C6, C2, 1);
o.clear();
o = g.topological_sort_dfs();
return 0;
}